2025年8月3日星期日

告别复杂提示词!蚂蚁新方式让AI自动理解你的个性化需求

DeepSeek个性化对齐提升15%

AntResearchNLP团队 投稿
量子位 | 公众号 QbitAI

相信大家都有这样一个体验。

跟AI无论什么对话,感觉都是说空话套话。

图片
图片

有时候为了让AI懂自己,许多用户甚至不得不学习复杂的"提示词技巧",手动编写长长的指令,像是在给AI做"岗前培训"。

图片

那么如何实现高情商AI?蚂蚁通用人工智能研究中心自然语言处理实验室提出了一个叫AlignXplore的方法——

通过强化学习,AlignXplore能够通过深度思考从用户行为中归纳出他/她的偏好,并且这种对人类偏好的洞察可以随着用户行为的变化而动态更新。

更有趣的是,当把归纳好的偏好描述迁移到一个下游对齐模型时,能够让这个模型的个性化对齐能力得到显著提升。

图片

如何让AI真正懂你?

如何让AI真正"懂"你?我们需要让AI从一个"规则执行者"进化成一个"模式发现者"。

这意味着,它要掌握一种被认为是人类智慧核心的能力——归纳推理(Inductive Reasoning)。

图片
"千人一面"的对齐方式无法满足用户多样的个性化需求,红字蓝字是对应用户的偏好描述

事实上,AI早已对演绎推理(Deductive Reasoning)驾轻就熟,具备令人惊叹的数学解题和代码编写能力。

你给它一个确定的前提(如"求解二次方程 ax²+bx+c=0")和一套不变的规则(求根公式),它就能通过一步步严密的逻辑推演,给出一个唯一、可验证的正确答案。这是一个典型的"自上而下"(Top-Down)的过程:从普适的公理或规则出发,推导出一个具体的、必然的结论。 在这个世界里,没有模糊地带,只有对与错。

而归纳推理则完全相反,它是一个自下而上(Bottom-Up)的过程:它没有预设的"个人说明书"。它的"线索"就是你的每一个行为: 你追问了什么问题,说明你关心什么;你跳过了哪个回答,说明你不喜欢什么风格;你对哪个笑话点了赞,暴露了你的幽默感。它的"任务"就是从这些海量的、碎片化的行为数据中,提炼出专属于你的互动模式与偏好规律。通过归纳推理,AI有潜力成为你的"知心姐姐",主动拼凑出一个完整的你。

举个例子,让我们来扮演一次AI知心姐姐,看看它是如何通过两次看似无关的对话,就精准捕捉到你的"潜台词"的:

  • 第一次交互:你问"什么是人工智能?它在商业和生活中是怎么用的?"。AI会立刻开始在幕后推理你的偏好:"你可能对AI技术有特别的兴趣,但似乎更关心实际应用,也许是商业导向"。

  • 第二次交互:你想学习冥想,在两个候选回答中,你选择了提供具体步骤的那个,而不是阐述冥想哲学的回答。AI会立刻更新它对你偏好的理解:"你的偏好是获取能解决眼前需求的、务实的指导,而不是理论探讨。"

这种渐进式的学习和优化,让AI的"记忆"不再短暂。随着一次次的交互,它会不断收集新的线索,验证并修正之前的假设,对你的"人物画像"进行一次又一次的精修。最终,它不再是被动回答问题的机器,而是在主动地、持续地学习和理解你是谁。

这,就是我们通向真正个性化AI的第一步。

AlignXplore

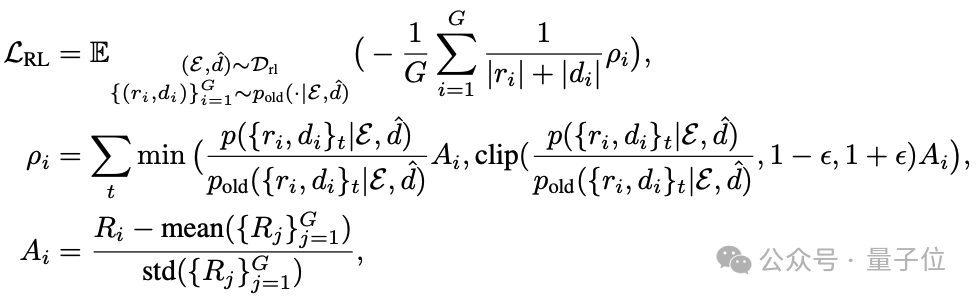
AlignXplore的训练包括两个阶段。

图片

第一阶段:冷启动训练(Cold-start Training)——拜师学艺

研究团队首先引入一个更强大的AI作为"导师模型"图片。这个导师会生成大量高质量的"教学案例"。对于每个用户的行为信号集合图片图片会生成多组候选的推理链r和相应的偏好描述d利用奖励函数R(r,d)进行筛选来获取高质量数据图片。通过在图片上进行SFT,实现偏好归纳模型的冷启动。

图片

其中图片代表可能存在的历史偏好,而G是为每个实例生成的候选样本数量。这里奖励函数定义为:

图片

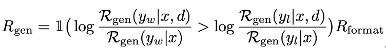
其中,图片是下游大语言模型R对回复的偏好打分函数。这个通用的奖励框架可以被实例化为两种具体的奖励函数,用于模型的训练与评估:

1、图片(基于偏好判断的奖励)

R作为一个偏好判断模型,直接评估在给定推断出的偏好d后
"图片图片更好"的概率,最大化与用户真实偏好的一致性:

图片

图片提供了更稳定和有效的训练信号,是AlignXplore在训练和评估中采用的核心奖励函数。

2、图片(基于生成概率的奖励)

R作为一个回复生成模型,衡量在加入偏好描述d前后,模型生成较优回复图片与生成较差回复图片间的对数概率差值是否有提升:

图片

第二阶段:强化学习(Reinforcement Learning)——实战修行

在这一阶段,采用GRPO算法训练,模型会针对用户的行为,尝试生成多种不同的推理路径和偏好结论图片。随后,系统会根据这些结论的准确性给予"奖励"或"惩罚"。通过这种不断的试错和优化,模型学会了如何将初步的分析提炼成更精准、更具指导性的判断。

优化策略定义如下:

图片

流式偏好推断机制

AlignXplore模型支持流式偏好推断机制,即不再需要反复回看用户冗长的历史记录,而是像处理一条源源不断的数据流一样,实时、增量地更新对用户的理解——就像它在之前的例子中发现用户"务实导向"的风格一样。

这种"流式"设计带来的好处是显而易见的:

首先,它大大提高了生成效率;

其次,它极为灵活,当用户从休闲模式切换到工作状态时,它能迅速迭代出一个新的"工作版"偏好,而不是固执地用旧眼光看用户。这才是真正能跟上用户节奏的动态进化系统。

实验结果

在域内测试集AlignX_test和域外测试集P-Soups上,AlignXplore模型在个性化对齐任务上取得了显著的成功,相较于基座模型DeepSeek-R1-Distill-Qwen-7B平均提升了15.49%。

图片
AlignXplore与各种推理/非推理模型在域内外数据集上的表现

更重要的是,它展现了强大的综合能力:

高效性: 即使互动历史变得非常长,流式推理机制也能保持稳定的响应速度和准确率,不会像传统方法那样需要每次编码所有行为信号致使越来越慢。

图片
随着互动的进行,流式推理机制下的响应速度和准确率都保持稳定

泛化能力:它不仅能处理特定的反馈数据,还能从用户发布的帖子user-generated content (UGC)等不同形式的内容中学习,并且其推断出的偏好也能成功地应用于与训练时不同的下游模型,包括QwQ-32B、DeepSeek-R1-671B等。

图片
泛化性实验

鲁棒性:即使用户的偏好发生改变甚至反转,AlignXplore也能灵活适应,不会产生剧烈的效果波动。

图片
即便反转初始行为信号的偏好,流式推理机制也能让模型灵活调整偏好推断

总结

该工作第一作者为人大高瓴一年级博士生李嘉楠,目前在蚂蚁实习;蚂蚁通用人工智能研究中心自然语言处理实验室关健、武威为共同第一作者、通讯作者。

AlignXplore是大模型个性化路上的一个全新的尝试。在SOTA结果的背后,这项研究其实有很多思考:

  • 在智力上限被一波又一波推高的当下,如何规模化训练大模型"情商"是一个没有得到足够关注却又十分重要的问题。毕竟谁会拒绝一个既聪明又有温度的AI呢?

  • 深度思考下的长思维链是大模型智能能力的主要推动力。深度思考本身消耗巨大,那么如果只用来刷分,是不是有点浪费呢?相比于结果,推理过程中产生的知识是不是更有价值呢?AlignXplore可以看作是推理知识在用户理解领域进行迁移应用的一个尝试。毕竟相对于艰深的数学知识,用户理解知识更容易被看懂,也更容易落地。

  • 如果客观问题都很快会被AI解决,那么主观问题该怎么办呢?这个世界上到底是客观问题多还是主观问题多呢?无论如何,研究团队认为个性化是通往主观世界的一条重要通道,而AlignXplore是在这条通道上的一次大胆尝试。期待未来有更多相关研究能够涌现。

一键三连「点赞」「转发」「小心心」

欢迎在评论区留下你的想法!

—  —

图片


🌟 点亮星标 🌟

科技前沿进展每日见



没有评论:

发表评论

Claude Mythos模型发布:安全漏洞发现能力超人类,暂不开放使用

Anthropic发布最强AI模型Claude Mythos,在漏洞发现与利用能力上超越除顶尖人类外的所有专家,已自主发现数千个高危零日漏洞。该模型在SWE-bench Pro得分77.8%,远超此前旗舰版本。因安全风险,Anthropic暂不公开发布,启动Project Gla...